位置:
哆来咪
>
曲谱
>>
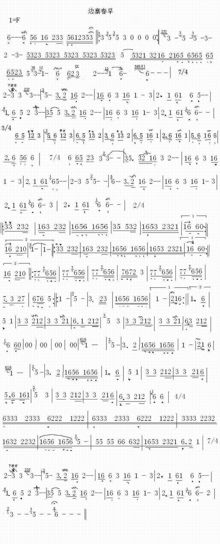
边寨春早
边寨春早 歌谱 曲谱 乐谱
←
草原风情 歌谱 曲谱 乐谱
→
边疆处处赛江南 歌谱 曲谱 乐谱