位置:
哆来咪
>
曲谱
>>
平调开门
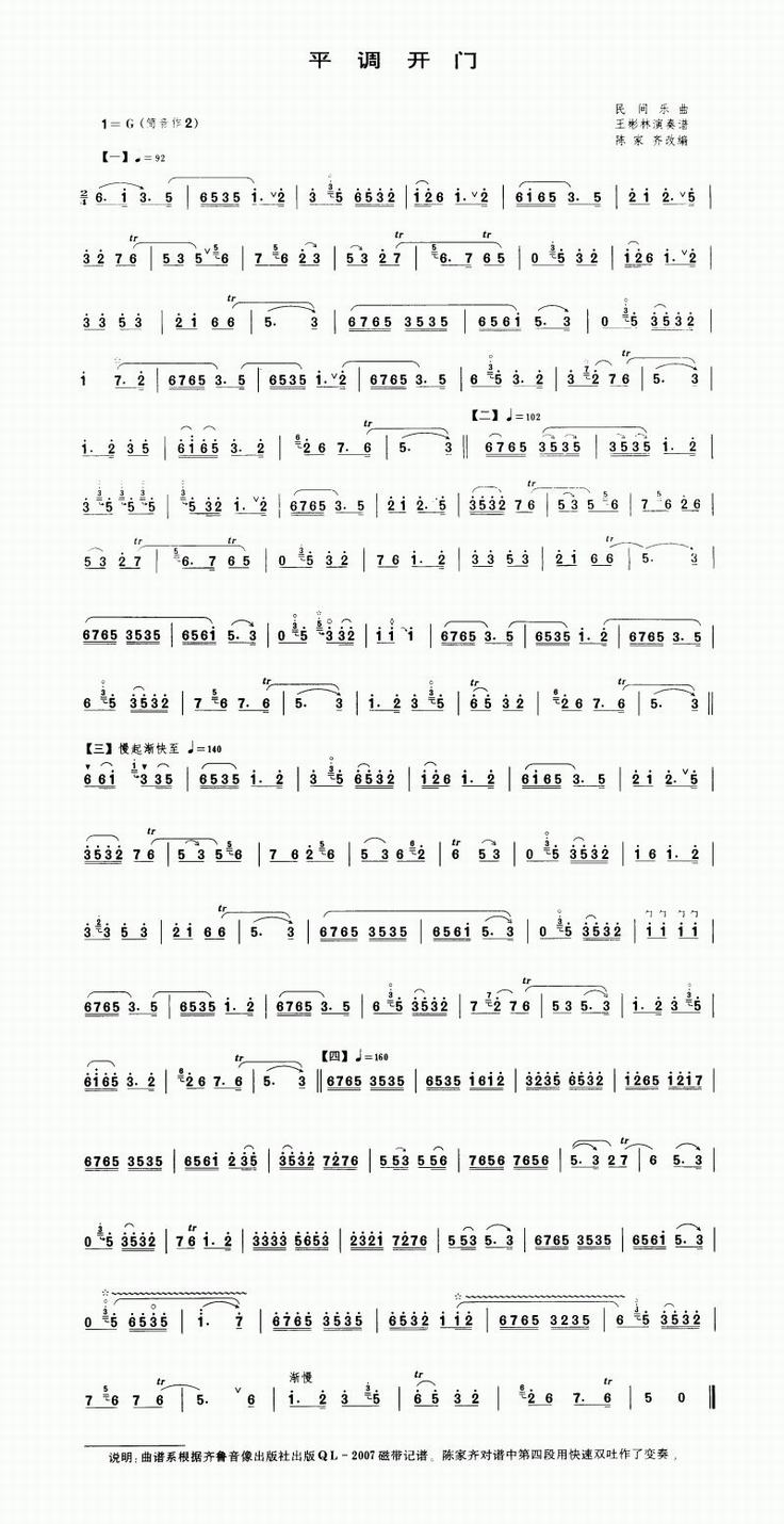
平调开门 歌谱 曲谱 乐谱
←
平调娃娃 歌谱 曲谱 乐谱
→
爬山虎 歌谱 曲谱 乐谱