位置:
哆来咪
>
曲谱
>>
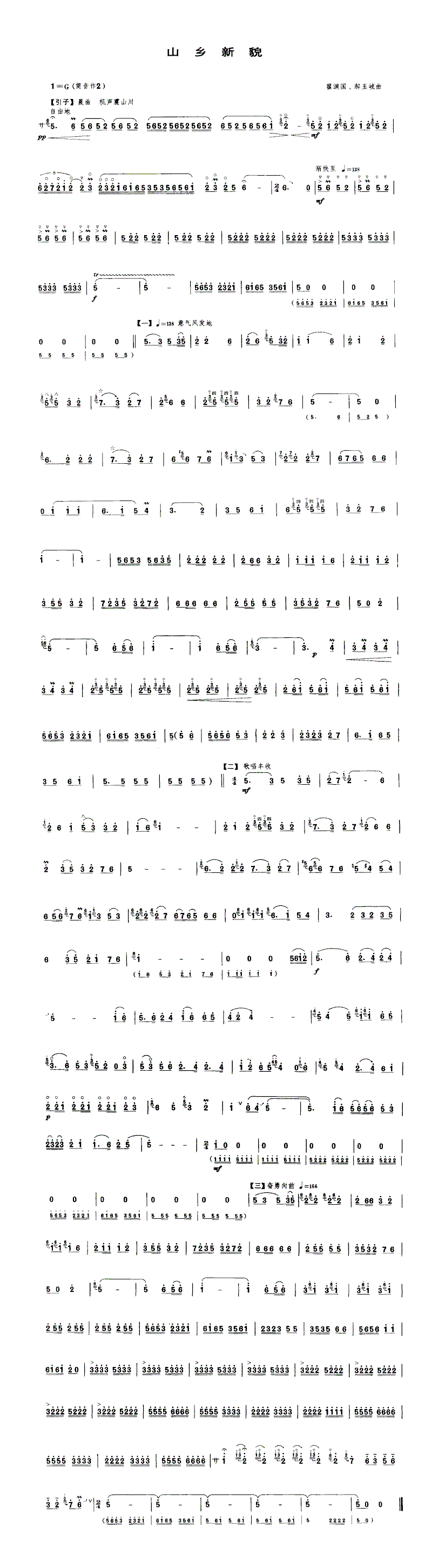
山乡新貌
山乡新貌 歌谱 曲谱 乐谱
←
山乡之夜 歌谱 曲谱 乐谱
→
山乡春 歌谱 曲谱 乐谱