位置: 哆来咪 > 曲谱 >>

对花枪6-10京剧

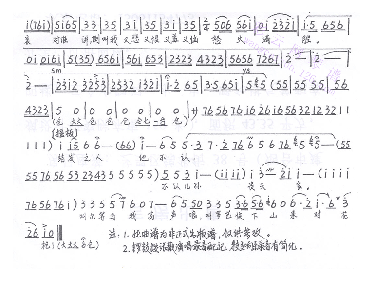
对花枪6-10京剧 歌谱 曲谱 乐谱

对花枪6-10京剧
对花枪6-10京剧

对花枪6-10京剧
对花枪6-10京剧

对花枪6-10京剧