位置:
哆来咪
>
曲谱
>>
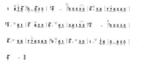
渴望
渴望 歌谱 曲谱 乐谱
←
康定情歌 歌谱 曲谱 乐谱
→
看秧歌 歌谱 曲谱 乐谱