位置:
哆来咪
>
曲谱
>>
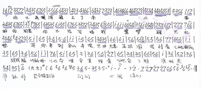
青妹慢举龙泉宝剑-张火丁京剧
青妹慢举龙泉宝剑-张火丁京剧 歌谱 曲谱 乐谱
←
桃花扇-京剧 歌谱 曲谱 乐谱
→
古道别-京剧 歌谱 曲谱 乐谱