位置:
哆来咪
>
曲谱
>>
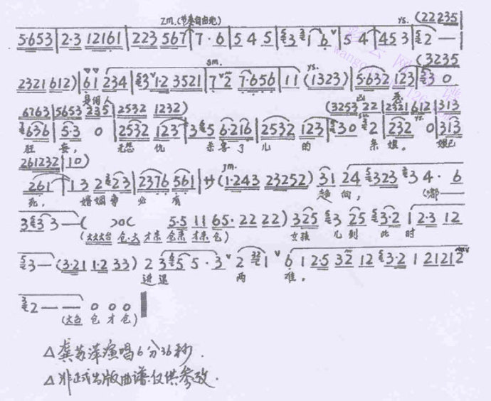
素秋女只哭得泪如雨降-京剧
素秋女只哭得泪如雨降-京剧 歌谱 曲谱 乐谱
←
亡蜀鉴-京剧 歌谱 曲谱 乐谱
→
桃花扇-京剧 歌谱 曲谱 乐谱