位置: 哆来咪 > 曲谱 >>

板胡-小桃红

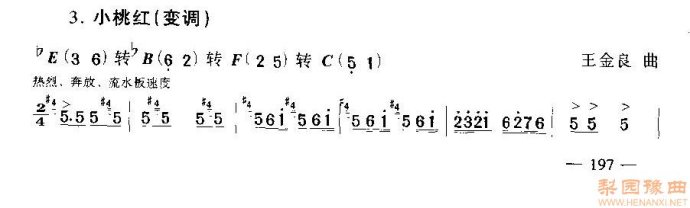
板胡-小桃红 歌谱 曲谱 乐谱

板胡-小桃红

板胡-小桃红
板胡-小桃红
板胡-小桃红
板胡-小桃红