导航: 123-哆来咪 > 音乐资料 > 歌谱曲谱 > 歌谱 >> 家乡的青草地-美国民歌(简谱)

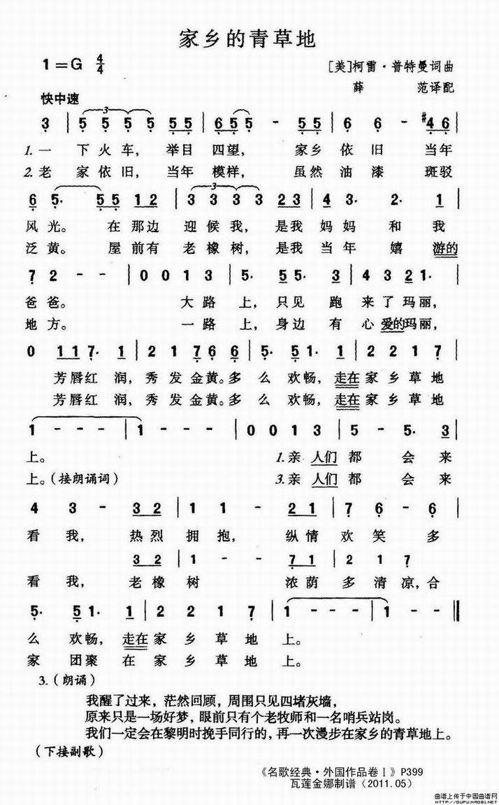
家乡的青草地-美国民歌(简谱)

简介:由美国作曲家柯雷·普特曼词曲的《家乡的青草地》被美国一些音乐史学家和民俗学家称为“不朽的民歌”。