导航:
123-哆来咪
>
音乐资料
>
歌谱曲谱
>
歌谱
>> 呛姑娘-江淑娜(影视简谱)
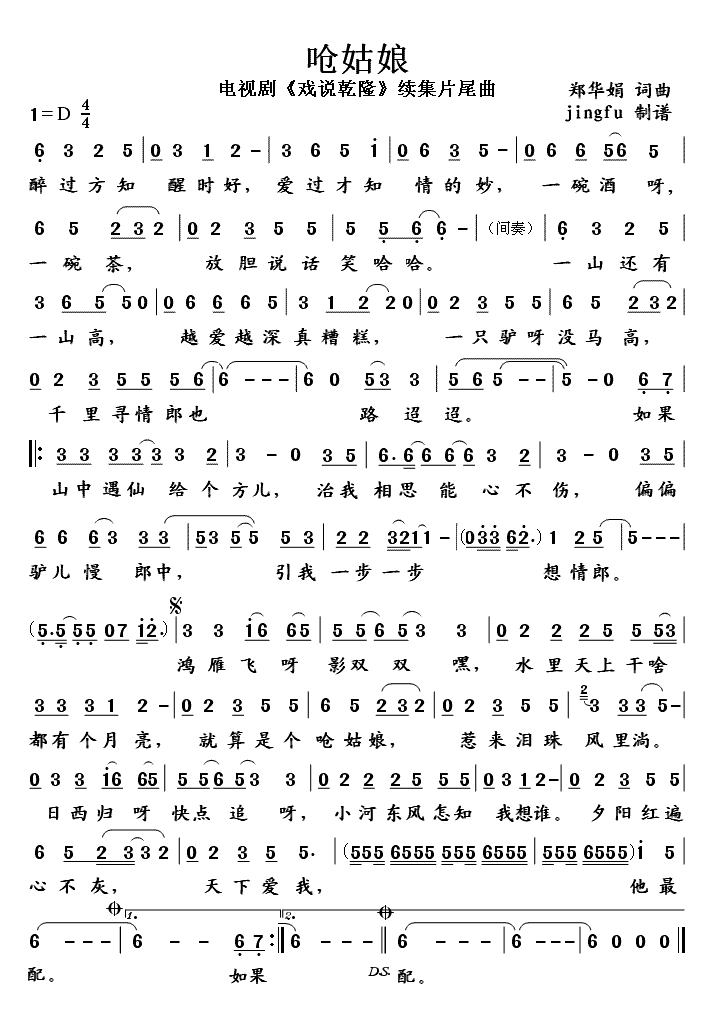
呛姑娘-江淑娜(影视简谱)
简介:
电视剧《戏说乾隆》续集片尾曲
两个人的月亮-江淑娜(简谱)
故梦-江淑娜(简谱)