导航: 123-哆来咪 > 音乐资料 > 歌谱曲谱 > 管弦乐谱 >> 恰似你的温柔-邓丽君(萨克斯简谱)

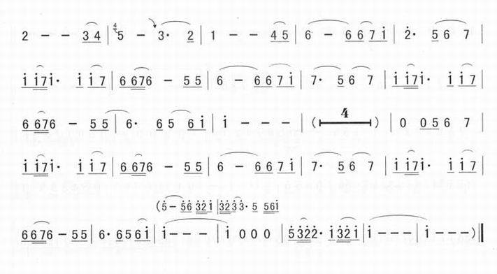
恰似你的温柔-邓丽君(萨克斯简谱)



恰似你的温柔-邓丽君(萨克斯简谱 萨克斯曲谱 线谱)萨克斯曲 萨克斯谱 萨克斯音乐 萨克斯名曲)






===============恰似你的温柔 歌词===============
歌曲:恰似你的温柔
歌手:邓丽君 专辑:最后的经典

LRC歌词 HOT
• 搜索 "恰似你的温柔"mp3
• 下载"恰似你的温柔"铃声
打印预览 恰似你的温柔
邓丽君
某年某月的某一天
就像一张破碎的脸
难以开口道再见
就让一切走远
这不是件容易的事
我们却都没有哭泣
让它淡淡的来
让它好好的去
到如今年复一年我不能停止怀念
怀念你怀念从前但愿那海风再起
只为那浪花的手恰似你的温柔
(音乐演奏)