导航: 123-哆来咪 > 音乐资料 > 歌谱曲谱 > 管弦乐谱 >> 天黑黑-孙燕姿(萨克斯简谱)

天黑黑-孙燕姿(萨克斯简谱)



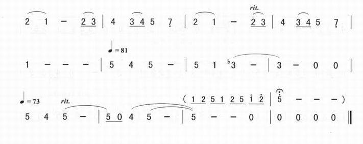
天黑黑-孙燕姿(萨克斯简谱 萨克斯曲谱 线谱)萨克斯曲 萨克斯谱 萨克斯音乐 萨克斯名曲)










===============天黑黑 歌词===============
歌曲:天黑黑
歌手:孙燕姿 专辑:天黑黑

LRC歌词 HOT
• 搜索 "天黑黑"mp3
• 下载"天黑黑"铃声
打印预览 天黑黑
词:廖莹如 april
曲:李偲菘

我的小时候
吵闹任性时侯
我的外婆
总会唱歌哄我
夏天的午后
老老的歌安慰我
那首歌好象这样唱的
天黑黑欲落雨
天黑黑黑黑
离开小时候
有了自己的生活
新鲜的歌
新鲜的念头
任性和冲动
无法控制的时候
我忘记
还有这样的歌
天黑黑欲落雨
天黑黑黑黑
我爱上让我奋不顾身的一个人
我以为这就是我所追求的世界
然而横冲直撞被误解被骗
是否成人的世界背后总有残缺
我走在每天必须面对的分岔路
我怀念过去单纯美好的小幸福
爱总是让人哭
让人觉得不满足
天空很大却看不清楚
好孤独
天黑的时候
我又想起那首歌
突然期待
下起安静的雨
原来外婆的道理早就唱给我听
下起雨也要勇敢前进….
我相信一切都会平息
我现在好想回家去
天黑黑欲落雨
天黑黑黑黑