当前位置: 论文资料 >> 医药学论文 >> 药学 >> 人工合成镇痛药
人工合成镇痛药
关键词:镇痛药

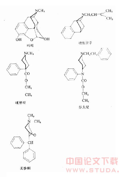
  吗啡易成瘾,是其严重缺点。为了寻找更好的代用品,合成了哌替啶、安那度、芬太尼、美沙酮、喷他佐辛、二氢埃托啡等药,它们的成瘾性均较吗啡轻。较常用的几个药物的化学结构见图18-3

  
  图18-3 常用的几种人工合成镇痛药的化学结构

  哌替啶

  哌替啶(pethidine)又名度冷丁(dolantin),为苯基哌啶衍生物,是临床常用的人工合成镇痛药,其结构虽与吗啡不同,但它仍具有与吗啡相同的基本结构,即哌啶环中的叔氮,与叔氮相隔两个碳原子的季碳和与季碳相连的苯环(环A)。

  【体内过程】口服易吸收,皮下或肌内注射后吸收更迅速,起效更快,故临床常用注射给药。血浆蛋白结合率约60%,主要在肝代谢为哌替啶酸及去甲哌替啶,再以结合型或游离型自尿排出。去甲哌替啶有中枢兴奋作用,中毒时发生惊厥可能与此有关。哌替啶血浆t1/2约3小时。

  【药理作用】

  1.中枢神经系统与吗啡相似,作用于中枢神经系统的阿片受体而发挥作用。皮下或肌内注射后10分钟可产生镇静、镇痛作用,但持续时间比吗啡短,仅2~4小时。镇痛效力弱于吗啡,注射80~100mg哌替啶约相当于10mg吗啡的镇痛效力。约10%~20%患者用药后出现欣快。哌替啶与吗啡在等效镇痛剂量时,抑制呼吸的程度相等。对延脑CTZ有兴奋作用,并能增加前庭器官的敏感性,易致眩晕、恶心、呕吐。

  2.平滑肌能中度提高胃肠道平滑肌及括约肌张力,减少推进性蠕动,但因作用时间短,故不引起便秘,也无止泻作用。能引起胆道括约肌痉挛,提高胆道内压力,但比吗啡弱。治疗量对支气管平滑肌无影响,大剂量则引起收缩。对妊娠末期子宫,不对抗催产素兴奋子宫的作用,故不延缓产程。

[1] [2] 下一页