当前位置: 论文资料 >> 计算机论文 >> 计算机网络 >> LVDS技术及其在多信道高速数据传输中的应用
LVDS技术及其在多信道高速数据传输中的应用

    2.2常用产品

    对应点到点或点到多点结构,有LVDS线路驱动/接收器和LVDS串行/解串器(Channellink)系列产品。对于多通道、宽带、大动态的数据传输,LVDS串行/解串器将是很好的解决方案。雷达系统中,分系统之间的数据传输,分系统内通过背板的数据传输应用LVDS串行/解串器将大大减少电缆、接插件以及PCB背板的复杂度。这种产品在雷达系统中有很好的应用前景。

    (2)对应点对多点或多点到多点结构的应用,BusLVDS技术能最好地适应这些应用。BusLVDSjLVDS线路驱动/接收器系列的扩展,为多点应用场合而设计,这时总线两端都终接电阻。Bus LVDS驱动器提供约10mA的输出电流,因而能被用于重负载的背板上,那里的等效阻抗低于100Ω,这里驱动器会有30~50Ω范围的负载。在一些大的数据通信系统中,要构造大的高速背板,LVDS技术是最理想的解决方案。

    3  LVDS的应用

    了解LVDS技术的特性后,下面的问题就是如何在设计中应用好LVDS产品充分发挥其技术优点,优化系统设计。这里结合华东电子所某型号雷达系统中LVDS技术的应用来阐述用LVDS做设计的一些原则和技巧。

    由于在系统中有几十路接收通道和数字中频接收机,数据线近500路。如应用传统的TTL/CMOS信号用双绞线并行传输,则需近千根导线,势必造成系统和背板都很复杂,其噪声/EMI性能的保证令设计者头痛,功耗也将很大。于是笔者在系统设计中应用了LVDS串行/解串器技术(Channellink产品),将数据线压缩到几十对差分线,完成了数据传输,并在多种型号雷达中成功应用。在选定了产品后,用好LVDS技术关键就在于PCB板的设计。PCB布线总的原则是:阻抗匹配是非常重要的,差分阻抗的不匹配会产生反射,会减弱信号并增加共模噪声,线路上的共模噪声将得不到差分线路磁场抵消的好处而产生电磁辐射。所以要尽量在信号离开IC后控制差分阻抗的走向,尽力保持尾端<12mm。

    3.1PCB板差分布线的设计

    侧耦合的微带线、侧耦合的带状线、宽边的带状线都可作为很好的差分线。根据实际情况,应用中选择了侧耦合的微带线,示意如图2。

    布线中注意了以下几点:

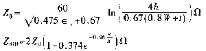
    (1)应用微波传输线理论设计差分阻抗Zdiff或利用以下方程设计:

    其中Z0为微带线的特性阻抗;

    (2)所布的差分线对一离开IC就尽早尽可能靠近在一起走线,布线越近磁场的抵消就越好,有助于消除反射并保证噪声以共模方式耦合。也即图2中的S越小越好。

    (3)对于差分布线不要依赖于自动布线功能,要匹配一对差分线的长度,确保各组差分线间的间隔;并使线上过孔最少;

    (4)避免90°转弯(以防造成阻抗不连续),用弧线或45°斜线代替。

    3.2PCB板的设计

    (1)至少用4层PCB板,将LVDS信号、地、电源、TTL信号分层布局。在实现设计中采用了8层板以尽量满足要求;

    (2)将陡的CMOS/TTL信号与LVDS信号隔离,最好能布在不同层上,并用电源和地层隔开;

    (3)保持发送器和接收器尽可能靠近接插件,连线长度愈短愈好(<1.5英寸),以保证板上噪声不会被带到差分线上,而且避免电路板及电缆线间的交叉EMI干扰;

    (4)旁路每个LVDS器件,分布式散装电容或表贴电容放在尽量靠近电源和地线引脚处;

    (5)电源和地线应用宽的布线(低阻抗),并保持地线PCB回路短而宽;

    (6)终端负载用100Ω(误差<2%)表贴电阻靠近接收器输入端来匹配传输线的差分阻抗,终端电阻到接收器输入端的距离应小于7mm;

    (7)将所有空闲引脚开路(悬空)。

    3.3电缆和接插件的选择

    应用中选择了双绞线平衡电缆,并在外层加屏蔽;接插件选择标准连接器,在连接器上差分信号通常连接在一行中靠近的两个连接脚上,示意如图3所示。

    总之,应用LVDS技术在系统设计之前,应优先考虑以下几点:

    (1)必须优先考虑电源和地在系统中的分布;

    (2)考虑传输线的结构及其布局布线;

    (3)完成其余电路部分设计,随时观察和修整布局。

    LVDS数据传输标准比传统的RS-232、RS-422、RS-485等标准有很大的优越性。在雷达系统中应用LVDS技术来完成数据传输,将会降低系统设计的复杂,使系统有很高的可靠性、高数据率、低噪声/低电磁辐射和低成本。

上一页  [1] [2]