| 电网改造中电杆拉线的设计计算与安装 |
| 当前位置: 论文资料 >> 工学论文 >> 电力 >> 电网改造中电杆拉线的设计计算与安装 | ||
| 电网改造中电杆拉线的设计计算与安装 | ||||
|
摘要:文章针对目前10kV农村配电线路工程建设与改造中出现的问题,为保证线路工程拉线满足设计要求,并从保证设计应力原则出发,提出相应的施工方法及设计计算方法。 关键词:配电线路 设计原则 计算方法 施工方法 电杆拉线一般都是呈空间布置,拉线方向与荷载方向往往不在同一平面内。即使在同一计算状态下各条拉线的荷载及伸长量也各不相同,故必须对每一条拉线进行受力计算。拉线的作用是用于平衡杆塔承受的水平风力和导线、避雷线的张力。 1 设计原则 (1)必须先进行实地勘察、详细了解现场情况,并尽可能考虑多种设计方案。 (2)在可能的条件下,应使线路长度最短、转角少、特殊跨越少。 (3)应尽量少占农田、不占良田。 (4)拉线坑应尽量避开塌陷及可能塌陷的地带。 2 拉线受力的计算 拉线自重力总是作用在拉线平面内,且垂直于地面,故其受力情况如图1所示。
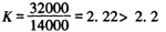
图1 拉线受力分析 一般耐张杆拉线设计,为考虑一侧导线断线时,承受另一侧导线的张力,终端杆拉线的设计则为承受一侧全部导线的张力。现以简单受力方式说明拉线受力的计算。 受力计算式: 式中T—拉线承受力,N P—导线最大张力,N θ—拉线对地面的夹角 从图1中可得拉线受力计算式: 式中h2-拉线着力点(拉线悬挂点)的高度,m 例1某10kV线路的终端杆最大张力每相3400N,三相导线合力作用点高度为12m,拉线安装高度亦为12m,对地夹角取45°,求拉线受力,并选择拉线规格(安全系数取2.2)。 解:拉线受力 选用GJ-25型钢绞线(破断力32000N) 安全系数: 结论:合格。即当θ=45°时,T是P的1.4倍;当θ=60°时,T是P的两倍。如果拉线与地面的夹角太大,不但使拉线承受的力要大大增加,而且还会减小转角拉线对跳线间隙的距离,影响线路安全运行。如果拉线与地面的夹角太小,则拉线承受的力要大大减小,会造成杆塔倾斜,同时还会增加拉线的下压力,导致土壤下沉,杆塔倾斜。所以电杆拉线与地面夹角一般以45°为宜,最大不要超过60°。
|
||||
|
|
||||