品书香 > > 歌谱简谱>>流行歌曲>>D

第一时间第一时间


点击图片放大
第一时间第一时间F4歌曲
第一时间第一时间第一时间


第一时间
 
作词:邬裕康作曲:王治平

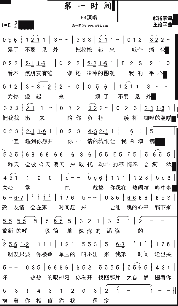
言承旭:累了不要见外
把我挖起来
吐个痛快
看不惯朋友有难
谁还冷冷的围观
我的手心为你握起来
朱孝天:烦了不要见外
把我找出来
陪你负担
吴建豪:续杯咖啡的温暖
一直暖到你想开
你心情的坑洞让我来填满
朱孝天:昨天会被今天明天来取代
动心的感情不会淘汰
关心常在
全体:就算你我再热闹喧哗中走散
友情会在第一时间赶来
让跳乱的心情平躺下来
重新的呼吸简单
深深的满满的
朋友只要你被孤单压的叫不出来
我第一时间送出关怀
热热的眼神陪你看开
找回那片大自然
为着你抱紧你相信你
朱孝天:我确定
周渝民:累了不要见外
把我挖起来
吐个痛快
看不惯朋友有难
谁还冷冷的围观
我的手心为你握起来
珠孝天:烦了不要见外
把我找出来
陪你负担
续杯咖啡的温暖
一直暖到你想开
你心情的坑洞让我来填满
吴建豪:昨天会被今天明天来取代
动心的感情不会淘汰
关心常在
全体:就算你我再热闹喧哗中走散
友情会在第一时间赶来
让跳乱的心情平躺下来
重新的呼吸简单
深深的满满的
朋友只要你被孤单压的叫不出来
我第一时间送出关怀
热热的眼神陪你看开
找回那片大自然
为着你抱紧你相信你