渴望
渴望
分类:
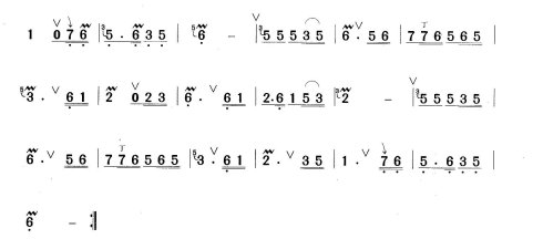
笛子
←
看秧歌
→
康定情歌