海边的陌生人
我记录
情感空间
艺术赏析
萨克斯管
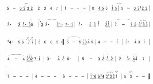
乐谱
海边的陌生人
简谱
分类:
萨克斯管
←
不让我的眼泪陪我过夜
→
and l love you so