栏目导航:
品书香
> >>
歌谱简谱
>>
其他曲谱
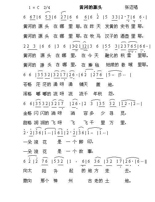
黄河的源头[其他曲谱]
←
任何事[其他曲谱]
→
骊歌[其他曲谱]
其他文章
·
妈妈的心战士的情[简谱]
18
·
宠爱[简谱]
24
·
朋友(《奥林匹克风》插曲)[简谱]
276
·
清官谣(《宰相刘罗锅》片尾主题歌)[二胡曲谱]
4400
·
清粼粼的水来蓝莹莹的天(歌剧《小二黑结婚》选曲)[八字以上]
4409
·
糊涂的爱(《过把瘾》片尾曲)[简谱]
4414
·
种稻(菲律宾民歌)[简谱]
4420
·
闪亮闪亮的小星星(儿童歌)[简谱]
4426