栏目导航:
品书香
> >>
歌谱简谱
>>
三字歌谱简谱
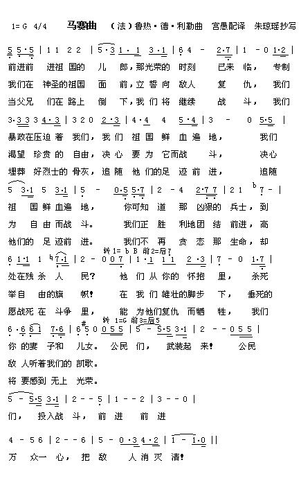
马赛曲
←
再爱我
→
太阳雨
其他文章
·
漫天风雪[简谱]
6
·
一生有你[简谱]
48
·
花纸伞[简谱]
101
·
战胜自己[简谱]
1578
·
回到过去[简谱]
2104
·
悲歌(又名:处世难)[二胡曲谱]
2522
·
完美生活[简谱]
4208
·
我亲爱的
36
·
把握(《搭错车》插曲)
36
·
变(《搭错车》插曲)
36