栏目导航:
品书香
> >>
歌谱简谱
>>
五字歌谱简谱
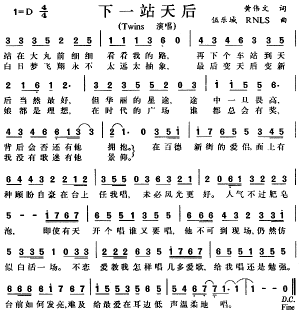
下一站天后[简谱]
←
一封家书[简谱]
→
写不完的爱[简谱]
其他文章
·
漫天风雪[简谱]
6
·
与你同车[简谱]
10
·
小雨沙沙[简谱]
15
·
快乐的歌[简谱]
388
·
欢乐女神圣洁美丽(第九交响曲《欢乐颂》片断)[合唱曲谱]
528
·
相思三态[简谱]
1455
·
邦锦花儿[简谱]
1940
·
帕帕帕帕(歌剧《魔笛》选曲)[简谱]
2910
·
是场梦还是真(粤语)[简谱]
5818
·
凝望[简谱]
5826