栏目导航:
品书香
> >>
歌谱简谱
>>
四字歌谱简谱
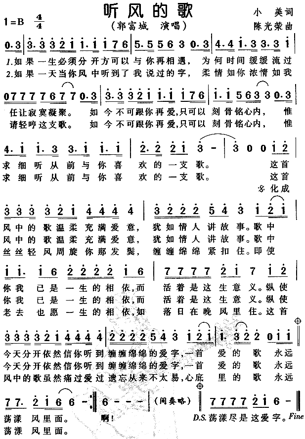
听风的歌[简谱]
←
牧马之歌[简谱]
→
旧欢如梦(粤语)[简谱]
其他文章
·
乱了[简谱]
21
·
梦不完的你[简谱]
72
·
我不是天使[简谱]
130
·
我不是天使[简谱]
180
·
光明的太阳(上海光明中学校歌)[合唱曲谱]
203
·
春闺梦[简谱]
4682
·
有情有爱有花[简谱]
4691
·
让我一次爱个够[简谱]
4692
·
啊故乡
36
·
那女孩对我说
36