栏目导航:
品书香
> >>
歌谱简谱
>>
五字歌谱简谱
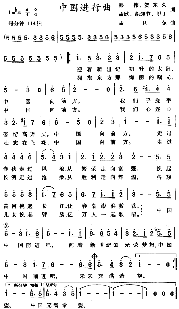
中国进行曲[简谱]
←
就这样流浪[简谱]
→
应该说什么[简谱]
其他文章
·
活着不容易[简谱]
28
·
漫步人生路(吉特巴)[乐队总谱]
47
·
你的宝贝[简谱]
197
·
渔歌调[简谱]
198
·
追求[简谱]
1610
·
你那里下雪了吗[简谱]
409
·
相逢在雨中(粤语)[简谱]
608
·
九月九的酒[合唱曲谱]
619
·
情飘飘[简谱]
807
·
新婚别[二胡曲谱]
1023