●
品书香
>
精品曲谱
>
戏曲
>
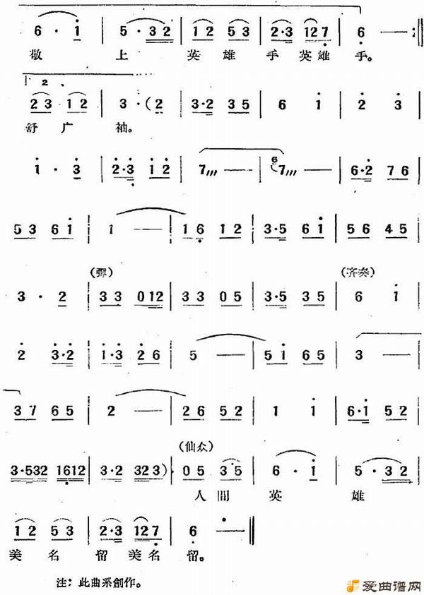
黄梅戏《“牛郎织女笑开颜”选曲:霞光缭绕飞彩云》
上一篇:
黄梅戏《“牛郎织女笑开颜”选曲:天河水干泪也干》
下一篇:
黄梅戏《因琴成痴转思作想》
热点内容
·
二人转《慢西城—东北秧歌曲牌》
·
越剧《雨打风吹不顾冷》
·
越剧《桑园访妻》
·
歌剧:两代人歌剧全剧151-200
·
同州梆子:青风亭
·
芗剧:[芗剧曲调]丢丢铜仔选自歌仔戏幕
·
京剧《共产党员》
·
京剧《学天文习兵法犹如反掌》
·
二人转《正反对花》
·
锡剧:锡剧《金玉奴》月儿弯弯照九州