●
品书香
>
精品曲谱
>
戏曲
>
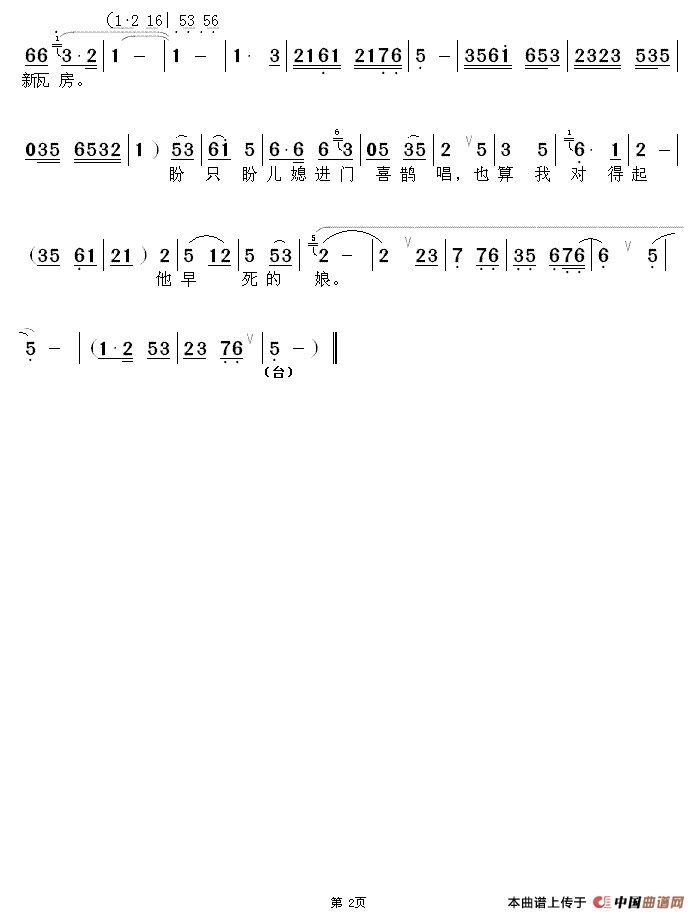
豫剧《盼只盼儿媳进门喜鹊唱》
上一篇:
豫剧《豫剧小合唱:颂奥运》
下一篇:
豫剧《舍不得有情意莺莺贤妹》
热点内容
·
歌剧:巴山蜀水要解放歌剧《江姐》选曲
·
《烘房飘香》第二十三曲》
·
上党梆子:窗前梅树是我友--上党梆子
·
莆仙戏谱:浆水令莆仙戏《王魁》选段
·
芗剧:[芗剧曲调]爱玉调选自《钗头凤》
·
吕剧:洪湖水浪打浪柳琴分谱
·
戏谱:双推磨([常锡剧]1954年版第二曲)
·
黄梅戏《把我老胡顶到了南墙上》
·
评剧《去年今日此门中(一)》
·
越剧《桑园访妻》