● 品书香 > 精品曲谱 > 戏曲 >

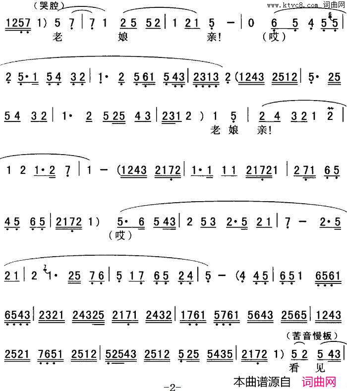
秦腔:这样事自幼儿何曾做惯(秦腔流行唱段精选:《火焰驹》


秦腔:这样事自幼儿何曾做惯(秦腔流行唱段精选:《火焰驹》秦腔:这样事自幼儿何曾做惯(秦腔流行唱段精选:《火焰驹》秦腔:这样事自幼儿何曾做惯(秦腔流行唱段精选:《火焰驹》

 

  • 上一篇:秦腔:没有眼泪,没有悲伤(秦腔流行唱段精选:《洪湖赤卫队
  • 下一篇:秦腔:三齐王宫院搭一躬(秦腔流行唱段精选:《斩韩信》韩信
热点内容
    ·越剧《闻耗》
    ·评弹曲调:阮籍醉梦——骂神仙
    ·黄梅戏《电影“天仙配”选曲:父王下旨
    ·二人转《压巴生》
    ·豫剧《龙江颂》主要唱段选编——端起
    ·京剧《替人家守门户百无聊赖》
    ·黄梅戏《纺线纱》
    ·黄梅戏《一句话恼得我火燃双鬓》
    ·藏戏:尊贵的国王(《智美更登》选段 曼
    ·豫剧《老马我探亲回油田来》