● 品书香 > 精品曲谱 > 戏曲 >

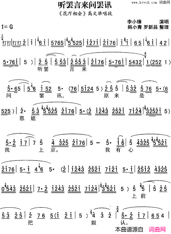
秦腔:听罢言来问罢讯(秦腔流行唱段精选:《花厅相会》高文


秦腔:听罢言来问罢讯(秦腔流行唱段精选:《花厅相会》高文秦腔:听罢言来问罢讯(秦腔流行唱段精选:《花厅相会》高文

 

  • 上一篇:秦腔:只盼着深山出太阳(秦腔流行唱段精选:《智取威虎山》
  • 下一篇:秦腔:依律条秉公断何惧高官(秦腔流行唱段精选:《打镇台》
热点内容
    ·泗州戏谱:断桥《白蛇传》选段
    ·二人台:舅舅挎外甥( 二人台传统曲目 )
    ·粤剧《悲歌大渡河(《悲歌大渡河》选段
    ·昆曲:兴隆会
    ·歌剧:向秀丽七场歌剧051-102
    ·芗剧:[芗剧曲调]蚱蜢调选自闽南民间歌
    ·鼓谱:[单弦]松月绕岔曲
    ·越剧《如坠深渊》
    ·戏谱:[评弹曲调]蒋调王孝和·遗书
    ·越剧《北地王·哭庙之二》