●
品书香
>
精品曲谱
>
声乐
>
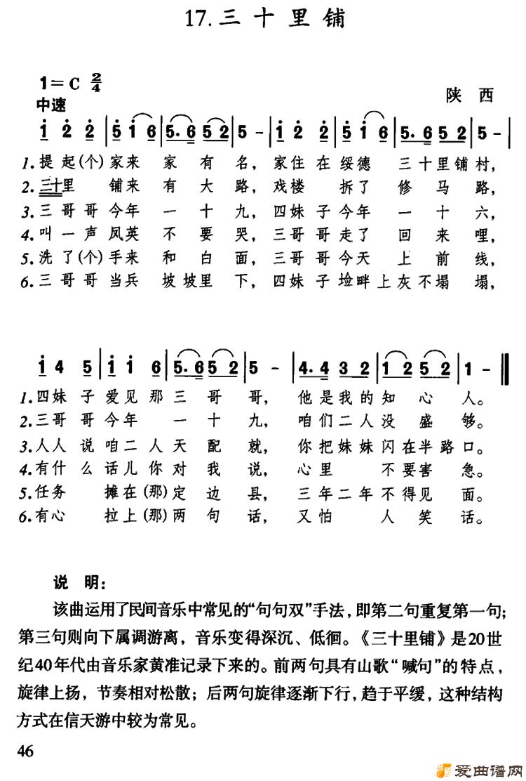
民歌《三十里铺》
版本一:F调版,本站上传
版本二:C调版,转自《乐谱库》
版本三:D调版,《军营文化天地》刊发
版本四:D调版,选自《抒情民间歌曲选》
版本五:D调版
版本六:选自《中国民歌精选》
版本七:选自《简明民族音乐教程》
版本八
上一篇:
民歌《梦里水乡》
下一篇:
民歌《月牙五更》
热点内容
·
民歌《楠竹的故乡》
·
外国《[美]Sad Movies》
·
儿歌《寒号鸟》
·
合唱《可爱的中国》
·
民歌《白莲花洁白的花》
·
民歌《蝴蝶飞》
·
美声《春之舞》
·
民歌《草原人家》
·
儿歌《我是您的娃》
·
外国《[前苏联]爱情的回声》