●
品书香
>
精品曲谱
>
声乐
>
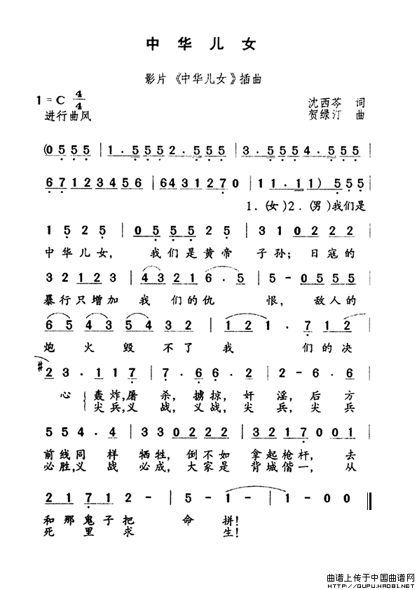
民歌《中华儿女》
上一篇:
民歌《高高太子山》
下一篇:
民歌《老房东查铺》
热点内容
·
美声《47梦回西藏》
·
美声《轻轻走近你》
·
儿歌《古诗词今唱:竹石》
·
民歌《忆秦娥·娄山关》
·
合唱《厉害了,我的国》
·
外国《声乐教学曲库5-84斯菲斯提亚摇篮
·
通俗《出卖》
·
儿歌《向着国旗敬个礼》
·
外国《声乐教学曲库5-16星夜 》
·
民歌《咱是士官》