●
品书香
>
精品曲谱
>
声乐
>
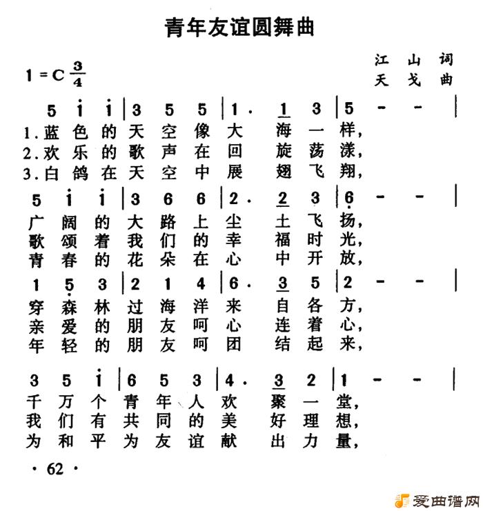
美声《青年友谊圆舞曲》
版本一
版本二
版本三
上一篇:
美声《党啊,亲爱的妈妈》
下一篇:
美声《祖国,慈祥的母亲》
热点内容
·
合唱《信仰》
·
民歌《桥工想念毛主席》
·
合唱《三峡·我思念你》
·
民歌《那山那水那人》
·
外国《声乐教学曲库2-54[意]星光灿烂
·
儿歌《最爱》
·
民歌《万众一心,众志成城》
·
外国《[英]树丛》
·
儿歌《好妈妈》
·
民歌《泉水叮咚响》