●
品书香
>
精品曲谱
>
声乐
>
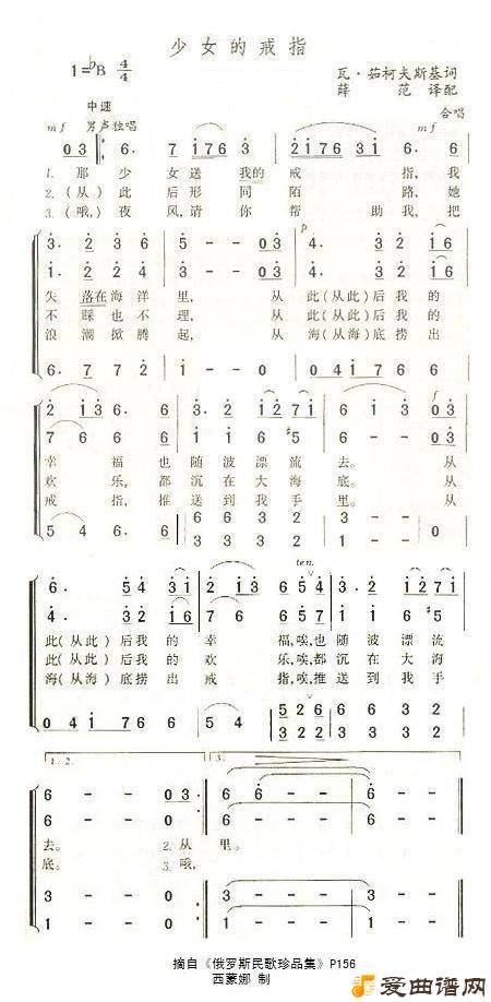
外国《少女的戒指》
上一篇:
外国《少女的春天》
下一篇:
外国《少女的祈祷》
热点内容
·
儿歌《我也上井冈》
·
外国《声乐教学曲库2-56[意]我从来没有
·
美声《轻轻走近你》
·
美声《南湖之歌》
·
民歌《战友》
·
民歌《毛主席语录》发给咱》
·
儿歌《外婆的小石桥》
·
民歌《情醉农家》
·
美声《边寨情》艺术歌曲三首:2.蓝天
·
合唱《花儿与少年》