●
品书香
>
精品曲谱
>
声乐
>
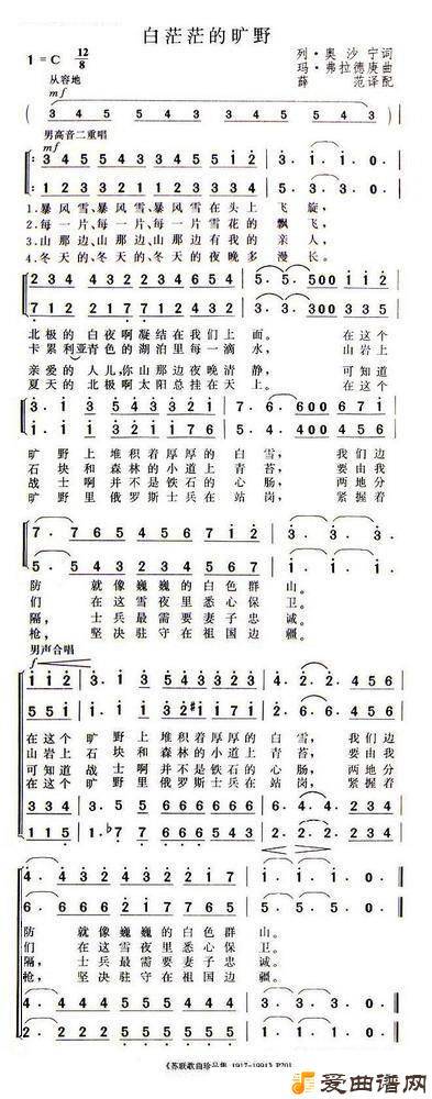
外国《白茫茫的旷野》
上一篇:
外国《[俄]白兰鸽》
下一篇:
外国《[前苏联]白色的海鸥》
热点内容
·
民歌《两颗星星》
·
民歌《东方的太阳 东方的月亮》
·
外国《两个姑娘在唱歌》
·
民歌《亲亲茉莉花》
·
通俗《把你爱到我的心里面》
·
儿歌《我是您的娃》
·
美声《55情未了,情难断》
·
民歌《那山那水那人》
·
儿歌《不要说我还是小孩》
·
外国《我是流浪儿》