●
品书香
>
精品曲谱
>
民乐
>
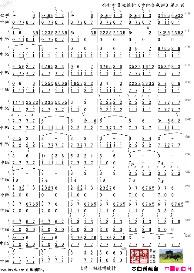
阮琴《公社社员运粮忙》
上一篇:
阮琴《扬鞭催马运粮忙》
下一篇:
阮琴《花儿与少年》
热点内容
·
二胡《阿美族舞曲分页二胡曲谱》
·
唢呐《春到茶山民乐类唢呐》
·
柳琴《茉莉花(柳琴弹拨乐曲)》
·
古筝-采茶歌
·
扬琴《倒垂帘》
·
古琴《梧叶舞秋风舞》
·
葫芦丝《月亮升起来》
·
唢呐《锁南枝唢呐》
·
古琴《卧龙吟》
·
古筝-HandClap