●
品书香
>
精品曲谱
>
民乐
>
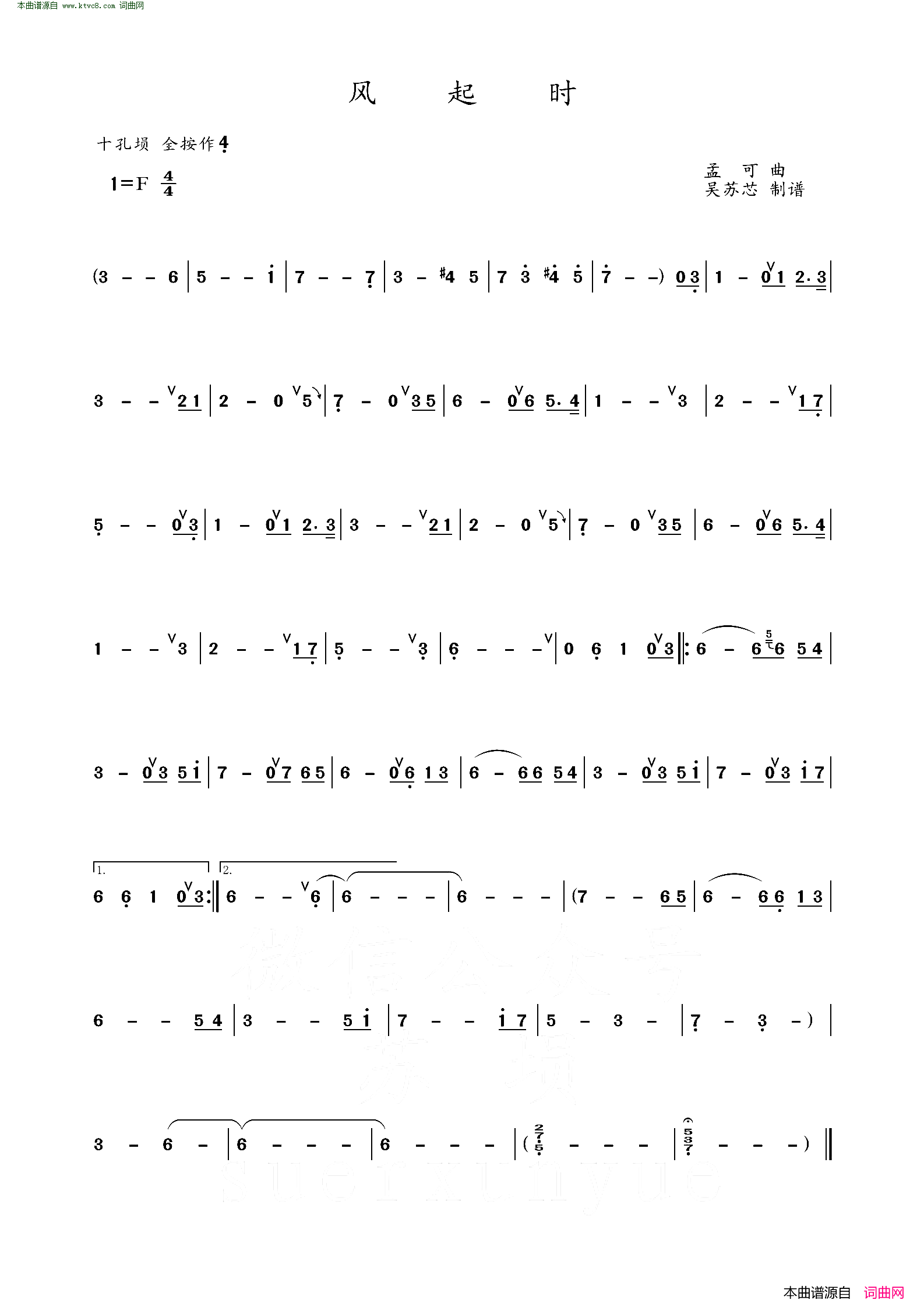
埙《风起时》
上一篇:
埙《山鬼》
下一篇:
埙《越人歌埙技巧谱》
热点内容
·
阮琴《龙灯》
·
古筝-挤牛奶
·
笛箫《行街》
·
埙《大海埙》
·
柳琴《柳琴二级:新鞋子、旧鞋子》
·
扬琴《大花轿》
·
葫芦丝《景谷傣族调》
·
古筝-一荤一素
·
胡琴《茉莉花》
·
笛箫《记事本》