●
品书香
>
精品曲谱
>
简谱
>
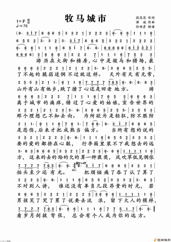
《牧马城市》
上一篇:
《你是我想要的幸福》
下一篇:
《借》
热点内容
·
《冬天的秘密》
·
《月半小夜曲》
·
《没有情人的情人节》
·
《梦中雪飘来》
·
可惜没如果(林俊杰)
·
甜甜的祖国甜甜的歌
·
《容易受伤的女人》
·
借过我的爱情
·
百看不厌
·
北京的金山上(梦之旅重唱版)